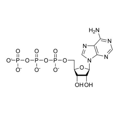
Adenosine Triphosphate

Adenosine Triphosphate (ATP) is an organic chemical that serves as an energy source for many cellular processes. The human body recycles its own body weight equivalent in ATP each day.[1]


  1. Study Type: Review
    Title: Opening and closing the metabolite gate
    Author(s): Susanna Törnroth-Horsefield and Richard Neutze
    Institution(s):
    Publication:
    Date: December 2008
    Abstract: On any given day you turn over your body weight equivalent in ATP, the principal energy currency of the cell. Mitochondria, which are believed to arise from the capture of a bacterium by an ancestral eukaryotic host cell (1), regenerate ATP from ADP and inorganic phosphate through oxidative phosphorylation. These organelles, termed the powerhouse of eukaryotic cells, contain both an inner and outer membrane, where ATP synthesis in the mitochondrial matrix is coupled to a transmembrane proton-motive force by ATP-synthase. Regenerated ATP is then actively exported across the inner mitochondrial membrane by the ADP/ATP antiporter (2). In contrast, the transport of ATP, ADP, and other metabolites across the outer mitochondrial membrane is passive, with the major pathway being through a voltage-dependent anion channel (VDAC) (3).
    Link: Source
    Citations: ↩︎